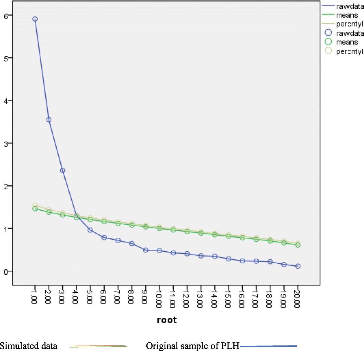
Fig. 2From: The value of hope: development and validation of a contextual measure of hope among people living with HIV in urban Tanzania a mixed methods exploratory sequential studyComparison of study Eigenvalues with simulated Eigenvalues Depicting 3 Factor Solutions during PilotBack to article page